前言
在化学合成中,每一步反应都有其*性。对应于其*性,化学化工研究者需要寻找合适的反应器来研究其最佳的工艺参数,实现放大生产。
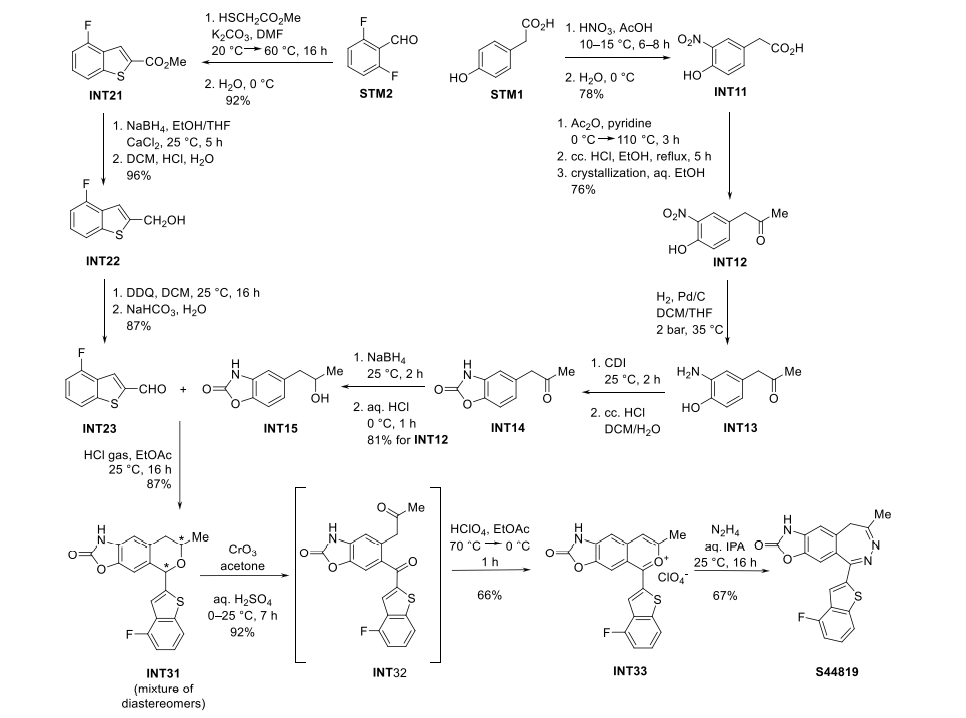
今天给大家介绍一篇多步反应全连续的文章。作者应用微反应器、固定床反应器以及釜式反应器杂化,实现硝化、加氢、环化、还原全连续操作,实现了Afizagabar (S44819)关键中间体的连续生产。
研究背景
Afizagabar (S44819) 是一种有竞争性和选择性的 α5-GABAAR 拮抗剂。由于临床研究需要相对较高的剂量,在产品的开发阶段需要生产约150kg的Afizagabar。
然而,在釜式工艺放大的过程中,特别是在硝化和氢化的步骤中,安全及放大问题阻碍了产品生产的进程。

图1. Afizagabar方程式
研究过程
实验小结
参考文献:Org. Process Res. Dev. 2022, 26, 1223−1235
编
者
语
康宁反应器模块化的组装方式和开放的接口,非常适合与其他类型的反应器、在线检测设备以及后处理装置联用。
康宁反应器无缝放大的技术,可以帮助客户实现更高效的工业化生产,尤其是硝化、加氢、重氮化、卤化等危险反应工艺。
在过去的几年中,康宁已实施了多套杂化的多步连续工艺,帮助客户实现了传统间歇反应釜工艺向连续流技术的升级和改造,取得了非常好的社会效应和经济效应。
电话
关注公众号