
6月16日晚7点,由中国农药工业协会和康宁反应器技术有限公司联合举办的“绿色创新合成、分离技术在农药产业转型升级中的应用"技术交流会,将在中国农药工业协会微信公众号直播大厅举行。
欢迎您关注“康宁反应器技术"微信公众号点击阅读原文了解详情并报名参会!
背景
硝磺草酮(通用名:mesotrione;商品名:Callisto)是先正达成功开发的HPPD抑制剂类除草剂中的产品。

硝磺草酮结构式
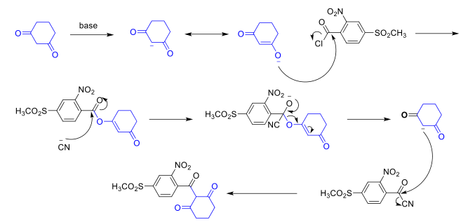
硝磺草酮的常规合成方法是1,3-环己二酮和2-硝基-4-甲磺酰苯甲酰氯酯化后再重排反应制得。前人对该合成工艺做了很多优化工作,但大都是基于釜式基础上的改进。
浙江工业大学的研究人员基于前人的研究基础上成功地开发了全连续酯化-重排合成硝磺草酮的工艺,并实现了Acetone cyanohydrin 的无害化处理,总收率为90.5% ,纯度 > 99% 。该工艺实现了多步安全连续化反应,提高了酯化反应速度(20s vs.釜式3h)和总收率(较釜式提高3.9%)。
本文将为您简单介绍相关内容。
研究过程
研究结果
参考文献:Journal of Flow Chemistry 12, 197–205 (2022)
编
者
语
全连续合成一直是近几年农药先进工艺研究非常热门的话题,但是实现全连续的工业化生产的例子却凤毛麟角。康宁反应器无缝放大的特性有利于连续化生产的快速实现。
同时连续化生产技术是一项综合的科学技术,离不开连续化合成、分离、提纯等生产工艺技术、PAT分析技术、专业技术培训等各个方面的进步与发展。更离不开企业在相关技术的投入与支持。
为了让更多的农药企业了解连续合成工艺和分离技术的应用与进展,6月16日晚7点我们特邀浙江工业大学化学工程设计研究所所长姚克俭教授与康宁AFR项目经理周太炎先生,在线畅谈农药绿色工艺研究和自动化分离技术等话题!

电话
关注公众号